미래동행알림

2025년 춘천미래동행재단 노인일자리 및 사회활동지원사업 참여, 대기 결과 공고

페이지 정보

작성자 관리자
작성일 2024.12.26 17:28

본문

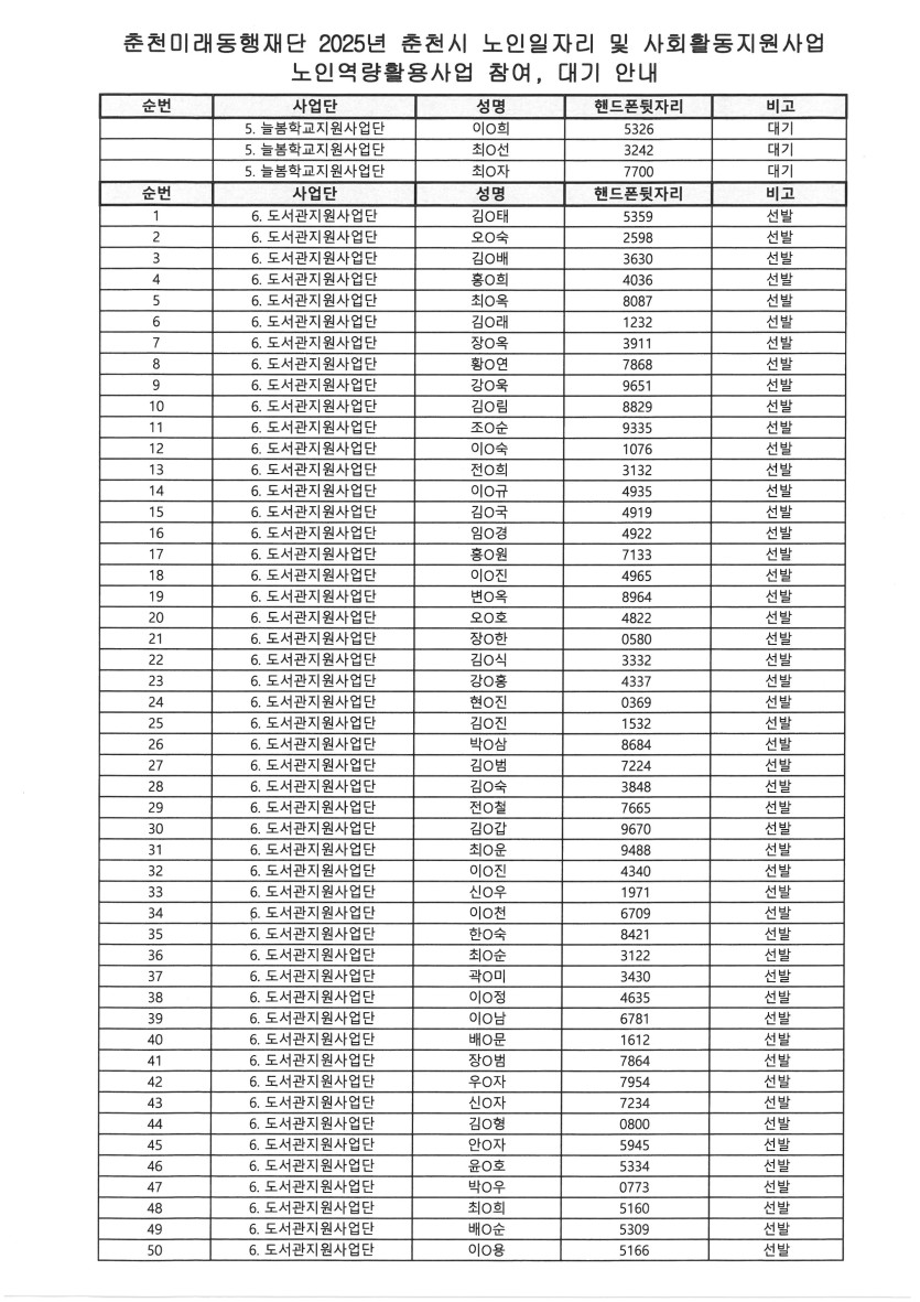
2025년 춘천미래동행재단 노인일자리 및 사회활동지원사업 참여대기 결과 공고

춘천미래동행재단


2025년 춘천시 노인일자리 및 사회활동지원사업 참여대기 결과 공고

 

 

춘천미래동행재단 2025년 노인일자리 및 사회활동지원사업 참여자대기자 결과를 공고합니다.

 

문의전화 ☎ 033-252-5070입니다.

(공공행정지원사업단공익증진지원사업단기초학습지원사업단노후동행사업단,

늘봄학교지원사업단도서관지원사업단디지털서비스지원사업단보육시설지원사업단1,

보육시설지원사업단2, 시니어컨설턴트사업단안전관리지원사업단오지택배사업단,

장애인지원사업단지역돌봄지원사업단탄소중립사업단 순입니다.)


d47e17a6489edb4600d7ef20006b6de3_1735216175_2165.jpg
d47e17a6489edb4600d7ef20006b6de3_1735216177_3333.jpg
d47e17a6489edb4600d7ef20006b6de3_1735216179_7989.jpg
d47e17a6489edb4600d7ef20006b6de3_1735216182_1292.jpg
d47e17a6489edb4600d7ef20006b6de3_1735216184_3118.jpg
d47e17a6489edb4600d7ef20006b6de3_1735216186_4155.jpg
d47e17a6489edb4600d7ef20006b6de3_1735216188_7233.jpg
d47e17a6489edb4600d7ef20006b6de3_1735216192_9171.jpg
d47e17a6489edb4600d7ef20006b6de3_1735216195_1745.jpg
d47e17a6489edb4600d7ef20006b6de3_1735216197_2291.jpg
d47e17a6489edb4600d7ef20006b6de3_1735216215_7538.jpg
d47e17a6489edb4600d7ef20006b6de3_1735216218_0858.jpg
d47e17a6489edb4600d7ef20006b6de3_1735216220_0473.jpg
d47e17a6489edb4600d7ef20006b6de3_1735216222_1912.jpg
d47e17a6489edb4600d7ef20006b6de3_1735216538_1584.jpg

d47e17a6489edb4600d7ef20006b6de3_1735216226_6549.jpg
 


주소 : 강원특별자치도 춘천시 시청길32. 해찬빌딩 3층   대표 : 신 용 준
전화 : 033-252-5070   팩스 : 033-244-7080   이메일 : cc5070@cc5070.or.kr   개인정보관리책임자 : 이영숙
Copyright (C) 2025 춘천미래동행재단. All rights reserved.
전체 검색

레이아웃 설정

  • 커뮤니티 PC 모드